Blog
Reaksi Masyarakat Arab Terhadap Islam Tingkatan 4
kelebihan penapis air coway core
kelayakan piala asia 2018
kedudukan malaysia dalam pisa 2015
kelopak mata kiri atas bengkak
kelebihan penapis air coway ombak
kedudukan sukan sea 2017
kegiatan gotong royong di masyarakat yang sesuai nilai nilai pancasila
kelopak mata atas bengkak dan nyeri
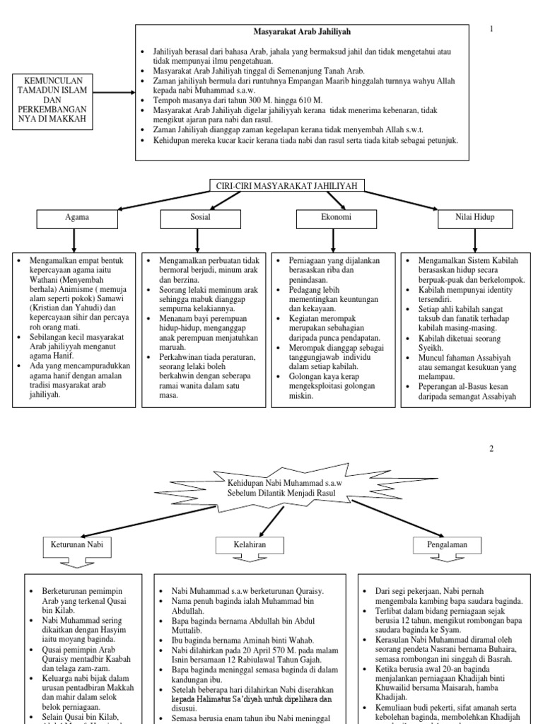
Sejarah Tingkatan 4 Bab 4
Reaksi Masyarakat Arab Terhadap Islam
Dudu Sone
Sejarah Tingkatan 4 Bab 4
Dudu Sone
Dudu Sone
Bab 4 Sejarah Tingkatan 4 Jahiliah
Bab 4 Ting 4 Guru D
Bab 4 Sejarah Tingkatan 4 Jahiliah
Bab 4 Sejarah Tingkatan 4 Jahiliah
Reaksi Masyarakat Arab Terhadap Islam Tingkatan 4
Reaksi Masyarakat Arab Terhadap Islam Tingkatan 4
Bab 4
Sejarah Form 4 Nota Kelima Bab 4 4 4 Reaksi Masyarakat Arab Terhadap Islam
Bab 4
Ppt Bab 4 Kemunculan Tamadun Islam Perkembangannya Di Mekah Masyarakat Arab Jahiliah Powerpoint Presentation Id 557731
Bab4 Pdf
Ppt Sejarah Nabi Muhammad Saw Powerpoint Presentation Free Download Id 5144662
Kemunculan Tamadun Islam Dan Perkembangannya Di Makkah
Bab 4 Ting 4 Guru D
Source :
pinterest.com
Random Posts
Sekolah Kebangsaan Raja Muda Seksyen 4
Semakan Status Brim 2016
Sekolah Kebangsaan Seri Mega
Seksyen 77 Akta Cukai Pendapatan 1967
Semakan Plkn Kumpulan 2 2015
Selamat Pengantin Baru Saloma Lirik
Selamat Pengantin Baru Saloma Mp3 Download
Sekolah Menengah Kebangsaan Seksyen 9 Shah Alam
Sekolah Kebangsaan Danau Kota
Senarai Koperasi Berdaftar Di Malaysia
Semakan Permohonan Mrsm 2017
Senarai Gaji Pegawai Pemain Dan Kakitangan Perlis Fa 2016
Senarai Pelakon Kl Gangster 2
Seksyen 16 Bandar Baru Bangi
Selafaz Cinta Episod 37
Senarai Badan Berkanun Persekutuan Di Malaysia
Sekolah Asrama Agama Di Selangor
Sejarah Tun Hussein Onn
Senarai Harga Alat Tulis
Senarai Pemain Kedah 2018